반응형
[문제]
At a point in a loaded structure, the normal and shear stresses have the magnitudes and directions acting on the inclined element depicted in Figure. Calculate the stresses
,
, and
(아래의 그림과 같은 응력상태일 때에 xy축과 평행한 축에서의 응력을 구하시오.)
[그림]
[문제풀이1] - 평면응력 공식 적용
1) 우선, 위 그림과 같은 응력 상태에서의 응력은 아래와 같습니다.
그리고, 위와 같은 상태에서 xy축과 맞추려면 시계방향으로 30도만큼 회전시켜야 합니다. 따라서,
가 됩니다.
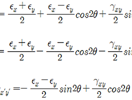
2) 아래에 적힌 공식을 외우고 있으면 바로 적용할 수 있습니다. 응력변환 공식입니다.
위 공식에 1)번에서 구했던 값들을 위 공식에 하나하나 대입해주면 아래와 같이 풀 수 있습니다.
따라서, x방향 응력은 -195.3 [MPa], y방향응력은 -64.7 [MPa], 그때의 전단응력은 -43.1 [MPa]가 나옵니다.
3) 이때, x방향 응력을 (대부분?) 먼저 구하실텐데 아래와 같은 공식을 적용해서 바로 y방향 응력을 구해도 좋습니다.
바로 응력들의 합은 일정하다라는 개념입니다. 위 공식을 적용해서 위 2번에서 구한 x방향 응력값을 대입해주면, y방향 응력을 손쉽게 얻을 수 있습니다.
4) 위 상태에서의 그림은 아래와 같습니다.
[문제풀이2] - 모어원 적용
1) 우선, 위에서 주어진 값들을 다시 들고옵니다.
2) 위 값을 통해서 모어원을 그려줍니다.
3) x-y에서 x'-y'으로 변환하기 위해 알파와 베타를 구해줍니다.
4) '원'에 적용해서 거리를 구하는 것처럼 문제를 풀어주면, 응력값을 알 수 있습니다.
반응형
LIST
'공학 문제해결 > 재료역학' 카테고리의 다른 글
| 【재료역학】 평면변형률 문제풀이 (2) | 2017.10.10 |
|---|---|
| 【재료역학】 푸아송 비 문제 풀이 (0) | 2017.08.08 |
| 【재료역학】 꺽인 외팔보 문제 풀이 (0) | 2017.08.06 |