반응형
"First weigh the considerations, then take the risks."
"여러 가능성을 먼저 타진해보라, 그런 후 모험을 하라."
- 헬무트 폰 몰트케
안녕하세요. 이번 문제는 제 블로그를 통해서 질문이 들어온 문제를 풀어보도록 하겠습니다. 제 블로그를 보시고 도움이 되면 좋겠습니다. 제가 아는 부분에 한해서는 이렇게 문제를 풀어드리고 있지만, 저도 공부하는 학생이라 부족한 점이 많다는 점 이해부탁드립니다. 그럼 다들 아래 풀이 보시고 열공하시길 바랍니다!
[문제]
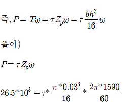
그림과 같이 중앙에 지름 d = 100 mm 의 구멍이 뚫린 폭 220 mm 의 판에 인장하중 W =36 kN 이 작용할 때, 안전율을 13이상으로 하려면 판의 두께는 얼마 이상으로 해야 하는가? 단, 재료의 인장강도는 390 MPa 이다. (응력집중계수는 2.5 이다.)
[문제이해]
위 문제는 인장하중 W를 받고 있는 판에 중간에 구멍이 뚫려있고, 안전율과 응력집중계수를 고려하여 판의 두께를 정해보라는 문제입니다. 문제에서 응력집중계수를 알려주지 않으면 풀 수가 없는.... 그런 문제이지만, 친절하게 나와 있으니 참고하여 아래와 같이 풀어보겠습니다. 그리고 문제에서 구하고자하는 두께는 t 라고 하겠습니다.
이때, 응력집중계수가 적용되는 것은 위 그림을 보시는 것처럼 판의 일부가 구멍이 뚫려있어 내부 응력이 X축에 대해서 일정하지 않고, 노치(notch)가 있는 부분에 응력이 더 커지는 현상때문에 적용이 되는 것입니다. 우리가 대부분 구하는 응력은 '평균응력'을 구하게되는데 이것에 응력집중계수를 곱해주면 '최대응력'을 구할 수가 있습니다. 따라서, 아래에서 구할 응력에 응력집중계수를 곱하여 X축에 대해서 최대 크기의 응력을 적용하여 두께를 구하게 됩니다.
[문제풀이]
우선, 위 그림에서 X축에 걸려있는 (구멍이 나있는 부분) 부분의 '평균응력'을 구해보겠습니다. 폭은 220 mm 이고 구멍의 길이가 100 mm 이므로, 단면의 길이는 두께를 고려하고 220 - 100 = 120 mm = 120 * 10^-3 m 가 됩니다. 이때, 두께는 기호 t로 나타내겠습니다.
이때, 문제에서 주어진 응력집중계수를 곱해주어야, 구멍뚫린 부분(X축 부분)에서의 최대응력을 알 수 있습니다.
그리고 문제에서 주어진 인장강도( = 재료가 버틸 수 있는 최대 응력)를 비교하여 두께 t를 구할 수 있습니다. 이때, 안전율 n = 13을 적용합니다. 이때, 안전율을 고려하게 되므로, σ'max는 허용응력과 같은 의미가 됩니다. (위에서 사용한 기호를 그대로 들고 왔지만, 개념은 허용응력입니다.)
즉, 안전율 13과 응력집중계수 2.5 를 고려하여 두께를 구하면, t는 25 mm 이상이어야 합니다.
반응형
LIST
'공학 문제해결 > 재료역학' 카테고리의 다른 글
| 【재료역학】 축동력, 전단응력 문제풀이 (15) | 2018.04.12 |
|---|---|
| 【재료역학】 기둥 전체응력 문제풀이 (1) | 2018.04.03 |
| 【재료역학】 단순보 비균일 분포하중 문제풀이 (3) | 2018.04.02 |